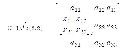
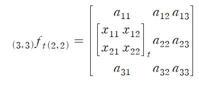
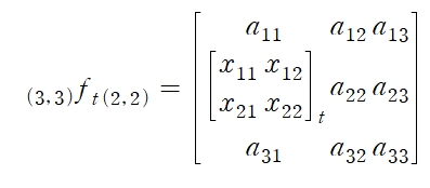
기존의 설명이 안되는 개념에 대해 수학의 새로운 정의가 필요할것으로 보이고 이를 Reference Matrix라 명명하고 다음과 같이 기술한다
Reference Matrix : Ted Theory에서 수식이나 그림에서 확인할 때 Reference Point를 기준으로 바라보는 시점을 기술한적이 있다. 그렇지만 이러한 부분을 수식으로 표현하기 위해서는 기존의 개념에서 설명이 안되는 부분으로 이러한 부분은 Reference Matrix라는 새로운 개념을 도입할 필요가 있고 이러한 개념을 활용에 의해 응용성이 많을 것으로 보인다.

기존의 Matrix에서의 개념의 확장이 어떻게 될지에 대한 이해할 필요가 있을 것으로 보인다.
기존의 행렬의 기본개념에서 행렬의 행렬화 그리고 그행렬의 새로운 변수에 따른 위치에 대한 정의가 필요할 것으로 보이고 이러한 정의에 따라 다음과 같이 기본적인 Reference Matrix를 정의 한다 변수 t에 따라 Reference는 행렬의 위치가 변동하고 이러한 정의는 t의 특정값에 따라 특정지어질 수 있다. 하지만 t의 존재는 단순한 상수값으로 보여질 수 있지만 이러한 상수도 상수가 아닐 수 있음을 판단할 수 있어야한다.

이러한 개념에 대한 이해로부터 Ted Theory를 시작할 수 있고 이러한 개념이 확장이 되기 위해서는 새로운 개념의 시각화가 필요할 것으로 보인다. 이러한 이해가 바탕으로 된다면 Matrix속 변수가 단순한 변수가 아닌 새로운 행렬이 될 수 있음을 자각할 수 있어야한다. 이러한 개념이 이해가된다. 다른 속도로 움직이는 두버스의 속의 사람들에 대한 많은 계산이 될 수 있을 것으로 보인다.
'Value_0' 카테고리의 다른 글
| Dlogzation(Progettazione analogica) (0) | 2023.11.26 |
|---|---|
| Matrix in Matrix(New concept of mathematics) (0) | 2023.02.21 |
| Ted Theory(UA) (0) | 2022.06.24 |
| Ted Theory(Time variables) (0) | 2021.11.20 |
| Time Diversification & Reference point (0) | 2019.05.20 |
WRITTEN BY
- TED Lim
Value Creator




