Value_0
Matrix in Matrix(New concept of mathematics)
TED Lim
2023. 2. 21. 08:04
Reference matrix의 도입하기 전에 우리는 행렬의 행렬화인 Matrix in Matrix의 도입과 정의가 필요하다 다음은 이에 대한 기술이다

이러한 정의는 기존의 chaos과 Ted Theory의 설명을 위한 기본적인 정의로 Reference Matrix 도입에 할때 생각해야할 개념이다
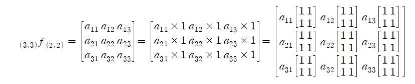
다음은 기본적인 Matrix in Matrix에 대한 예제를 기술한다


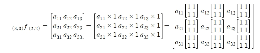
T Matrix는 T Matrix로 구성되어 있는 무한한 Matrix구조를 가지고 있는 기본 요소로서 Matrix in Matrix의 Base Matrix를 구성한다.
이러한 요소들의 구성속에 Ted Theory의 Reference Matrix의 구간에 따라 각각의 극한값이 변동할 수 있고 이러한 변동속에 각계에 따른 값을 구할 수 있다. 이러한 기본적인 이해는 다른 물리의 법칙과 경제 등 모든 근본적인 구성에 따른 설명이 가능할것으로 보인다.